技術資料
Feel&Think
第7回 トンネル掘削と地盤沈下(2)
今回は、トンネル掘削前に地盤に注入工を施し、トンネル周囲の透水性を減ずる措置を講じた場合について検討します。注目点は、この措置が地下水位の低下や地表面沈下、あるいは地盤の安定性に及ぼす影響です。
注入工トンネル掘削想定断面に対し4mの幅で、切羽前方に向けて注入工を施した場合を調べてみます。注入工により透水性が減じられた領域を、トンネルを無支保で「瞬時」に掘削し、その後に引き続き生ずる現象を調べます。
解析モデルを図1に示します。モデルの寸法や物性値、境界条件などは、前回と同じです。ただし、注入工を施した領域は、地盤の剛性は同じとし、地盤の透水係数として地盤に比べ一桁小さな値を用いました。

最初に、トンネル掘削後に生ずる地下水面の変化を、注入工の有無で比較してみましょう。注入工がない場合は、時間の経過とともにトンネル直上部まで地下水面が降りてくるのに対し、注入工がある場合は、地下水面の低下がある程度進んだ状態で停止します。これは、トンネル内空に向かう地下水流れが注入工によって制限され、早い段階で定常状態となるためです。注入工が地下水位の低下を抑制していることがわかります。

1000時間後の変位分布を図3に示します。ただし、掘削時の変位からの増分です。注入工ありの場合の地表面沈下は、なしの場合の半分以下となっています。これは、注入工ありの場合には地下水の排水が進まず、地盤の圧密変形が小さくなっていることに起因しています。
このときのトンネル断面の変位を、図4に示します。トンネル断面は全体的に沈下し、沈下量に比べ内空変位は小さくなっています。注入工ありの場合の沈下は、なしの場合の半分以下となっています。ここでも、注入工の効果が見られます。


次に、間隙水圧分布を比較してみます。注入工がない場合には、トンネル周囲の間隙水圧が時間の経過とともに減少していくのに対し、注入工がある場合には注入工の領域内で間隙水圧の減少が見られるものの、その外側では間隙水圧はあまり変化しません。このため、先に説明したとおり領域全体の沈下が抑えられ、結果として地表面沈下が抑制されます。
図6に示す地下水流速ベクトル分布を見ても、注入工により地下水のトンネル内空への流出が抑えられており、地盤の圧密沈下の減少に貢献していることがわかります。



(注入工の有無による比較、1000時間後、単位:m/h)
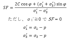
ここで視点を変えて、地盤の破壊に対する安全率を見てみます。破壊条件はモールクーロン型とし、安全率は応力のせん断成分とこれに抵抗する成分の比とします。有効最小圧縮応力σ1’が正の場合は、引張破壊が生ずると考え安全率は0とします。

ここに、Cとφはそれぞれ排水条件で計測された粘着力と摩擦角です。
安全率を求めるにあたっては、C=0.2MPa、φ=30°としました。
図7に得られた安全率分布を示します。注入工を施した方が安全率の低い領域が大きくなっていることがわかります。また、トンネル下部では安全率が0となっている領域も見られます。
これは、図8に示すとおり、トンネル下部で有効最小圧縮応力が正となる領域が生ずるためです。トンネル下部では、注入工により間隙水圧が高く保たれる一方で、トンネル径方向の全応力成分は小さくなります。このため、有効最小圧縮応力が正となる領域が生じ、この領域では地盤の破壊が生ずる可能性があります。


今回は、トンネル掘削後に生ずる地下水の変化と地盤の変形に、事前に施した注入工がどのような効果を発揮するかを調べてみました。この結果、地下水位の低下や地表面沈下が抑制されることや、注入工の領域内で地盤のせん断破壊や引張破壊が生ずる可能性があることがわかりました。
次回は、トンネル掘削後充分な時間が経過した後に、新たに注入工を施した場合を調べてみることにします。
【関連情報】
本記事で扱った解析条件や手法について、より詳しく知りたい方はこちらをご参照ください。
・地下水挙動の評価手法について
・地下水解析を行うソフトウェアの紹介