技術資料
Feel&Think
第5回 トンネル掘削と間隙水圧
本シリーズでは、あえて極端な条件や仮想的な条件を与えて数値解析を行い、地盤の不安定化に関する現象の特徴を引き出したうえで、斜面の安全性を評価する新しい手法を検討してきました。
今回からは、トンネル掘削時における地盤の不安定化現象を取り上げます。
トンネル掘削は、よく知られているように地下水との闘いです。地下では、地盤の空隙が地下水で満たされており、これが自身の重さによる圧縮力を受け、間隙水圧が発生しています。トンネル掘削により自由面が形成されると、これに向かって地下水の流出が生じ、場合によってはトンネル壁面の崩壊を招きます。また、地下水の流出は地下水位の低下を生じさせると同時に、地盤の圧密により地表面沈下を生じさせます。
このような不安定な現象を緩和する方法について、数値解析を用いて検討してみます。
最初は、トンネルを無支保で「瞬時」に掘削した場合の現象に着目してみます。これは、トンネルを急速に掘削した場合を極端に表現したものです。すなわち、地下水の流出によりトンネル周辺地盤で間隙水圧が減少するより早く、掘削が行われたとした場合に、どのような現象が生ずるのかを、数値実験により調べようというものです。
解析には、地下水の存在を考慮するため、変形と地下水流れの連成解析を用いました。解析に供した3次元数値モデルを図1に示します。
トンネル径は10m、土被りは30mです。また、モデルの高さは110m、幅はトンネル軸方向が100m、トンネル断面方向が150mです。
モデルの側面と底面は、法線方向の変位を拘束しました。また、トンネルに沿う方向の側面では、初期地下水位を地表面(モデル上面)の高さに設定するとともに、上下の表面は非排水境界としました。地表面では、降雨が0となる条件です。
地盤は弾性体(間隙弾性論に従う、詳細はFeel&Think*を参照)と仮定し、ヤング率は100MPa、ポアソン比は0.3、単位体積重量22kN/m3、間隙弾性定数 α は1.0、B は0.8としました。
*「疑似連成解析と仮想ドレーンモデル、第1回 変形と地下水流れの連成解析 参照
解析には独自に開発したG-SUPRAを用いました。FLAC3Dと同時に動的緩和法を用いています。

最初に、瞬時に掘削した際のトンネルの変形を見てみます(図2)。掘削によりトンネル壁面は内空側に押し出し、変形量はトンネル切羽から離れるにつれて大きくなります。

この時の間隙水圧分布を図3に示します。瞬時掘削では地下水は移動しないため、間隙水圧の変化は専ら地盤の体積変形によって引き起こされます。間隙水圧分布を見ると、トンネルの隅角部で間隙水圧の増加が見られるものの、大局的には初期の分布である静水圧状態からあまり変化していません。

一方、地盤の全応力での最小圧縮応力はトンネル壁面で0となるような分布となります。この結果、トンネル壁面付近では有効応力での最小圧縮応力σ3―pが引張応力となります。有効応力は、地盤の構造骨格に生じている応力ですが、一般に地盤は引張応力に弱く、壁面付近の地盤は破壊してしまいます。

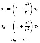
これは、次のような理論解を用いて説明できます。
下式は、σ0(全応力)の一様な応力状態の地盤に、半径 a で単位奥行(z方向)の円孔を掘削した場合の、トンネル径方向の応力 σr と接線方向の応力 σθ の、径方向の分布を表しています。奥行方向の σz は変化しません。

σ0 を10MPa、間隙水圧 p を5MPaとした場合の分布を、図5に示します。最大圧縮応力であるσθは、円孔に近づくにつれ大きくなり、初期応力 σ0 の2倍となります。いわゆる応力集中です。他方、最小圧縮応力である σr は、円孔に近づくにつれ減少し、円孔壁面で0となります。

間隙水圧の変化に注目するため、平均応力 σmを求めてみると、

となり、初期応力から変化していません。瞬時変形における間隙水圧の変化は、地下水の流れが生じないために、平均応力の変化に比例します。平均応力の変化は0であり、瞬時に掘削した円孔周辺では、間隙水圧の変化は生じないことがわかります。

この結果、円孔近傍では最小圧縮応力を間隙水圧が上回り、有効応力では最小圧縮応力が引張応力となります(図中の点パターンの領域)。先ほども述べたように、地盤は引張応力に弱く、この領域では地盤の破壊が発生します。
現実のトンネル掘削では、掘削が時間をかけて行われることや、切羽面からの排水が進むことから、これほど極端には引張応力が発生しないと考えられます。ただし、間隙水圧が高い状態が保持される可能性がある、透水性の低い地盤を掘削する際には、排水によりトンネル周辺の間隙水圧が十分下がるように掘削速度を調整することが望ましいと考えます。
次回は、トンネル掘削に続いて生ずる、地下水位の低下や地表面沈下を考えてみたいと思います。