技術資料
Feel&Think
第4回 豪雨時における斜面の危険度評価(2)
前回は、豪雨時における斜面の安定性評価を行う方法として、変形と地下水流れの連成解析を用いた例を示しました。解析では、図1に示す3次元数値モデルを用い、側面と下面を非排水境界としたうえで地表面の間隙水圧を0とし、定常状態での地下水流れの様子を調べました。解析結果(図2)からは、山頂部で地下水の流入が生ずるとともに、法尻部で地下水の流出が生ずることがわかりました。
今回は、このような状態における斜面の安定性を、どのように評価するのかについて検討していきます。


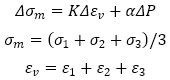
斜面の安定性を検討するためには、地盤の応力状態を求める必要があります。本解析では変形と地下水流れの連成解析を用いることとしており、定常地下水流れの状態での応力分布が求まります。
ちなみに、地盤変形の体積成分に関する構成方程式は、次のようになります。

ここに、K は排水条件で計測された体積弾性定数、αは間隙弾性定数です。
すなわち、地盤内の変形は自重による応力と間隙水圧の差によって生じます。

なお、詳細はFeel&Think(擬似連成解析と仮想ドレーンモデル、第1回 変形と地下水流れの連成解析)をご覧ください。
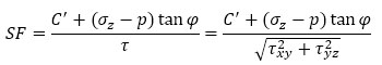
解析で得られた応力分布をもとに、これまで行ってきた斜面の安定性評価手法を適用し、局所安全率分布を求めます。この手法では、せん断応力として地盤が斜面を押し出そうとする方向の成分である、水平面内の平均せん断応力τを用います。また、安全率としては、モールクーロン型に習い、水平面のせん断応力とこれに対抗する応力の比を用います(図3参照)。

ここに、C’ は排水条件で計測された粘着力、φは粘着力、pは間隙水圧です。

最初に、第1回で行った自重解析で得られた安全率分布を図4に示します。法尻部や急傾斜部で安全率が低くなっています。

次に連成解析の結果を図5示します。自重解析の場合と比べ、法尻部の安全率が小さくなっています。安全率が小さい範囲で、安全率の分布を描くと図6となります。法尻部に安全率が小さい領域が集中していることがわかります。


このように法尻部の安全率が小さくなる原因を、2次元の単純化した斜面モデルで検討してみます。図7は、第3回でも示しましたが、定常状態での流速ベクトル分布です。斜面上部では地下水の流入が生じており、法尻部では地下水の流出が見られます。

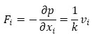
この流出方向の流れは法尻部に浸透力(次式)を生じさせ、法尻部のせん断応力を高めると考えられます。

ここに、F は浸透力、p は間隙水圧、k は透水係数、v は地下水流速で、添え字は座標系を表します。
この結果、図8に示すように、安全率の低い領域は法尻部に集中するようになります。

第3回と第4回では、地下水面が地表面にあり、側面と下面が非排水境界とした3次元数値モデルを用い、地下水流れが定常状態での連成解析結果を示しました。このような極端な条件ですが、斜面付近の地下水流れや応力状態は豪雨時のそれを良く表しているのではないかと考えます。また、得られた安全率分布からは、安全率の小さい領域が抽出されました。これが危険な斜面である可能性は高いと考えます。
次回からは、対象をトンネルに変え、極端な条件を設定して安定性を検討する作業をご紹介します。